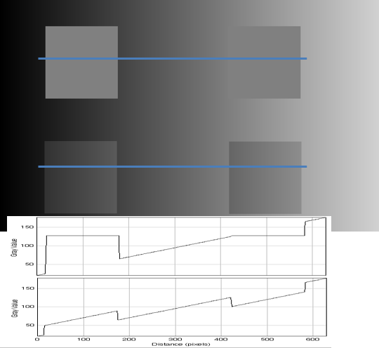
As shown below, three of the squares have the same average intensity.
The top two squares are uniform; all pixels are the same value. The bottom two squares have a horizontal gradient; the pixels change from left to right. But the average value of the pixels in the bottom right square is the same as the pixel value of the top two squares.


The main point of this exercise is that human visual perception of intensities is highly variant based on local contrast conditions but a good camera or other detector is uniform across the field and as conditions change with time. Want to measure intensities? Use a computer.
This analysis only addresses the absolute amount in an artificially localized structure . It is important to consider whether the absolute amount is the critical value or the amount relative to its neighbor, a.k.a. the perceived amount. Perhaps this is the relevant function. Regardless, the absolute value of both need to be accurately measured to understand how they relate.